Algorithm/개념 정리
[알고리즘 개념 정리] DFS & BFS 정리
미스터로즈
2021. 8. 7. 10:15
각종 블로그 및 동빈나 강의를 참고하여 정리를 했습니다.
동빈나 유튜브 강의 링크
그래프 탐색 알고리즘 -> DFS / BFS
탐색이란? 많은 양의 데이터 중에서 원하는 데이터를 찾는 과정을 말합니다.
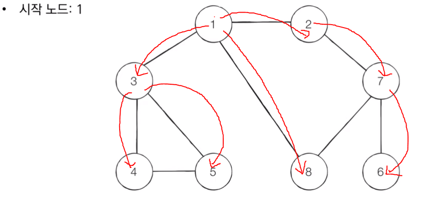
DFS는 깊이 우선 탐색이라고도 부르며 그래프에서 깊은 부분을 우선적으로 탐색하는 알고리즘입니다.
DFS는 스택 자료구조를 이용하여 구현하기도 합니다.


방문 순서 1 -> 2 -> 7 -> 6 -> 8 -> 3 -> 4 -> 5
BFS는 너비 우선 탐색이라고도 부르며, 그래프에서 가까운 노드부터 우선적으로 탐색하는 알고리즘 입니다.
BFS는 큐 자료구조를 이용합니다.


탐색 순서 : 1 -> 2 -> 3 -> 8 -> 7 -> 4 -> 5 -> 6